Ответы
Ответ дал:
0
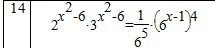
2ˣ²⁻⁶ * 3ˣ²⁻⁶ = 1/ (6⁵) * (6ˣ⁻¹)⁴
6ˣ²⁻⁶ = 6⁻⁵ * 6⁴ˣ⁻⁴
6ˣ²⁻⁶=6⁴ˣ ⁻⁴ ⁻⁵
6ˣ²⁻⁶ = 6⁴ˣ⁻⁹
х²-6=4х-9
х²-4х+3=0
D= 16-12=4
x₁=(4+2)/2= 3
x₂= (4-2)/2= 1
6ˣ²⁻⁶ = 6⁻⁵ * 6⁴ˣ⁻⁴
6ˣ²⁻⁶=6⁴ˣ ⁻⁴ ⁻⁵
6ˣ²⁻⁶ = 6⁴ˣ⁻⁹
х²-6=4х-9
х²-4х+3=0
D= 16-12=4
x₁=(4+2)/2= 3
x₂= (4-2)/2= 1
Вас заинтересует
2 года назад
2 года назад
7 лет назад
10 лет назад
10 лет назад