Ответы
Ответ дал:
0
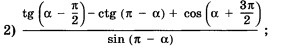
Tg(a-пи/2)-ctg(пи-a)+cos(a+3пи/2)/sin(пи-а)= -ctga+ctga+sina/sina=1
Ответ дал:
0
Ответ (₩¥£€£¥₩¥£€£¥₩¥€€£¥₩
Приложения:

Вас заинтересует
2 года назад
2 года назад
7 лет назад
9 лет назад
9 лет назад
10 лет назад