Ответы
Ответ дал:
0
Нужно сделать одинаковые основания у степени
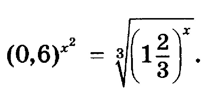
0,6=6/10=3/5
1 2/3=5/3
(3/5)^х^2=(5/3)^х/3
(3/5)^х^2= (3/5)^-Х/3
(Здесь формула
a^-n= 1/a^n)
Степени равны, основания равны, значит равны и показатели:
Х^2= -Х/3
Х^2+Х/3=0
3х^2+Х
----------- =0
3
3x^2+X=0
X(3x+1)=0
X=0;
-------
3x= -1
X= -1/3
---------
0,6=6/10=3/5
1 2/3=5/3
(3/5)^х^2=(5/3)^х/3
(3/5)^х^2= (3/5)^-Х/3
(Здесь формула
a^-n= 1/a^n)
Степени равны, основания равны, значит равны и показатели:
Х^2= -Х/3
Х^2+Х/3=0
3х^2+Х
----------- =0
3
3x^2+X=0
X(3x+1)=0
X=0;
-------
3x= -1
X= -1/3
---------
Вас заинтересует
2 года назад
7 лет назад
7 лет назад
10 лет назад
10 лет назад
10 лет назад