Ответы
Ответ дал:
0
Приложения:

Ответ дал:
0
Все просматривается теперь в приложении?
Ответ дал:
0
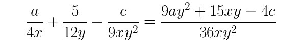
да но первая a дробь 4x
Ответ дал:
0
момент, сейчас исправлю!
Ответ дал:
0
Исправлено
Ответ дал:
0
спасибо большое.
Вас заинтересует
2 года назад
7 лет назад
9 лет назад
9 лет назад
10 лет назад