• Предмет: Математика
  • Автор: Цветочек0657
  • Вопрос задан 9 лет назад

На наклонной плоскости длиной 5 М и высотой 3 М находится груз массой 100 кг. Какую силу надо приложить, что бы равномерно опускать в его вниз( коэффициент трения равен 0.2)?

Ответы

Ответ дал: mizonreio
0
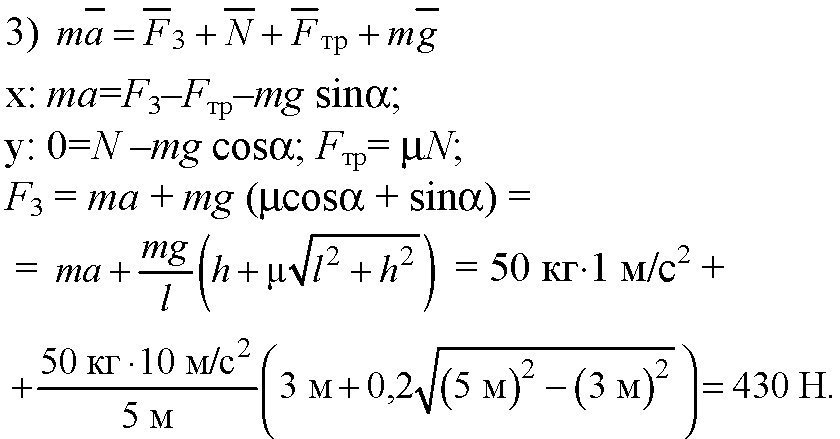
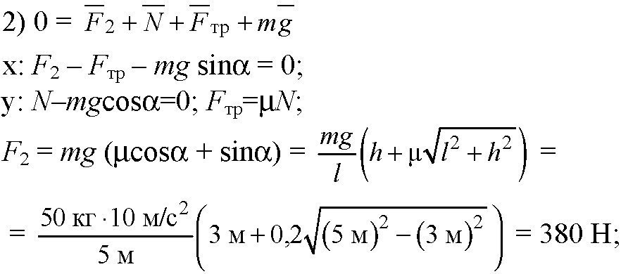
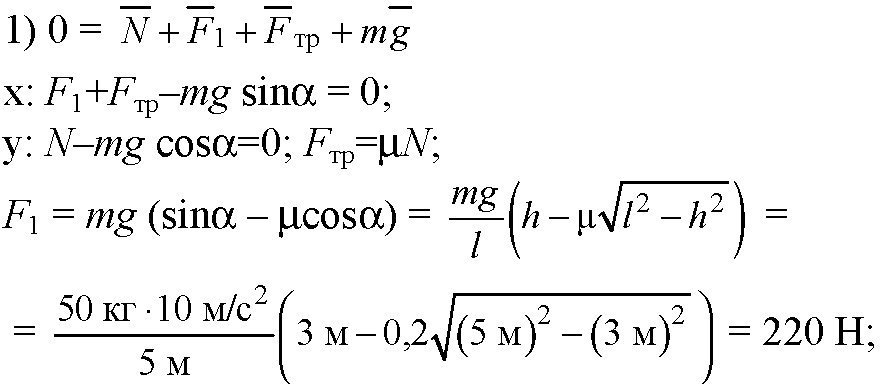
Ответ: F1 = 220 Н, F2 = 380 Н, F3 = 430 Н.
Приложения:
Вас заинтересует