• Предмет: Математика
  • Автор: leletko03
  • Вопрос задан 9 лет назад

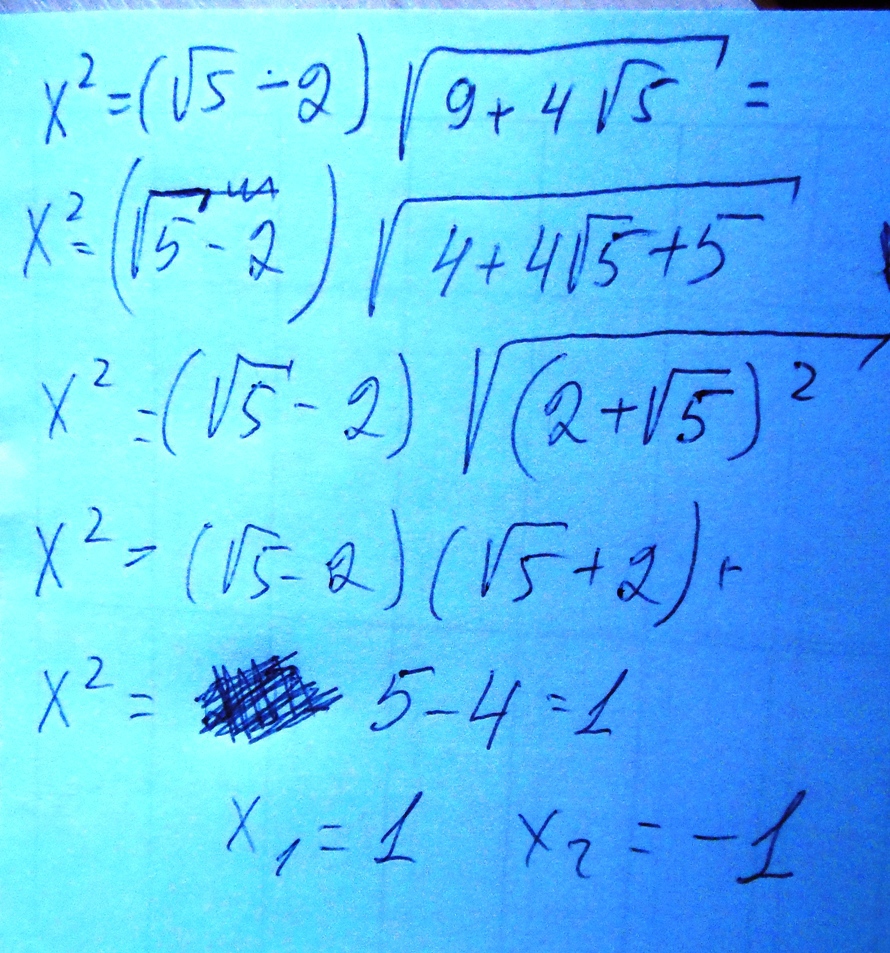
Помогите срочно! Нужно решить уравнение: х²=(√5-2)√9+4√5; более понятно на фото

Приложения:

Ответы

Ответ дал: miron2077
0
решение в приложении
Приложения:
Вас заинтересует