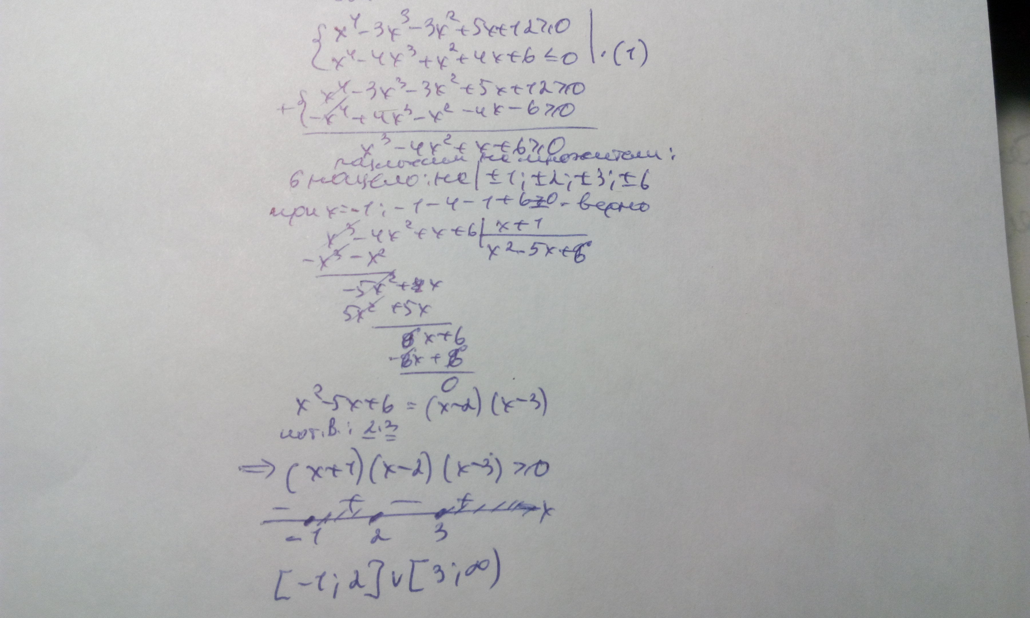
Решить систему неравенств(Лысенко,ЕГЭ,профильный уровень2017,Вариант-39,№15)
x^4-3x^3-3x^2+5x+12>=0
x^4-4x^3+x^2+4x+6<=0
Ответы
Ответ дал:
0
Решение дано на фото.
Приложения:

Ответ дал:
0
неверно ответ 3
Вас заинтересует
2 года назад
2 года назад
7 лет назад
7 лет назад
9 лет назад
10 лет назад