• Предмет: Алгебра
  • Автор: alisadeva2000
  • Вопрос задан 9 лет назад

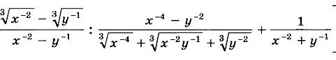
помогите упростить...плиз

Приложения:

Ответы

Ответ дал: ВладимирБ
0
Решение смотри в приложении
Приложения:
Вас заинтересует