• Предмет: Алгебра
  • Автор: vadimmolokov
  • Вопрос задан 9 лет назад

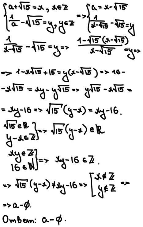
Найдите все значения а при каждом из которых выражения а+√15 и 1/a-√15 принимают целые значения.С РЕШЕНИЕМ

Ответы

Ответ дал: oOlDarknesslOo
0
Ответ: a - пустое множество.
(Решение на рисунке)
Приложения:
Ответ дал: vadimmolokov
0
спасибо огромное))))
Вас заинтересует