Ответы
Ответ дал:
0
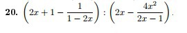
Ответ: -2х. Решение на фото.
Приложения:

Ответ дал:
0
Приложения:

Вас заинтересует
2 года назад
2 года назад
7 лет назад
7 лет назад
9 лет назад
10 лет назад