Ответы
Ответ дал:
0
думаю понятно............
Приложения:

Ответ дал:
0
Конечно все понятно.
Ответ дал:
0
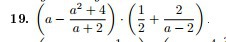
Только ты там ошибку сделал где "а" в квадрате +4, мы вычитаем это уравнение полностью, -("а" в квадрате минус+4)=-"а" в квадрате-4
Ответ дал:
0
а да да ну ты же понял
Ответ дал:
0
Да я даже знал как решать, прост не понял почему 1 в ответе потом догадался
Ответ дал:
0
хорошо
Вас заинтересует
2 года назад
7 лет назад
7 лет назад
9 лет назад
9 лет назад
10 лет назад