• Предмет: Математика
  • Автор: ДосталМеняЭтотНик
  • Вопрос задан 9 лет назад

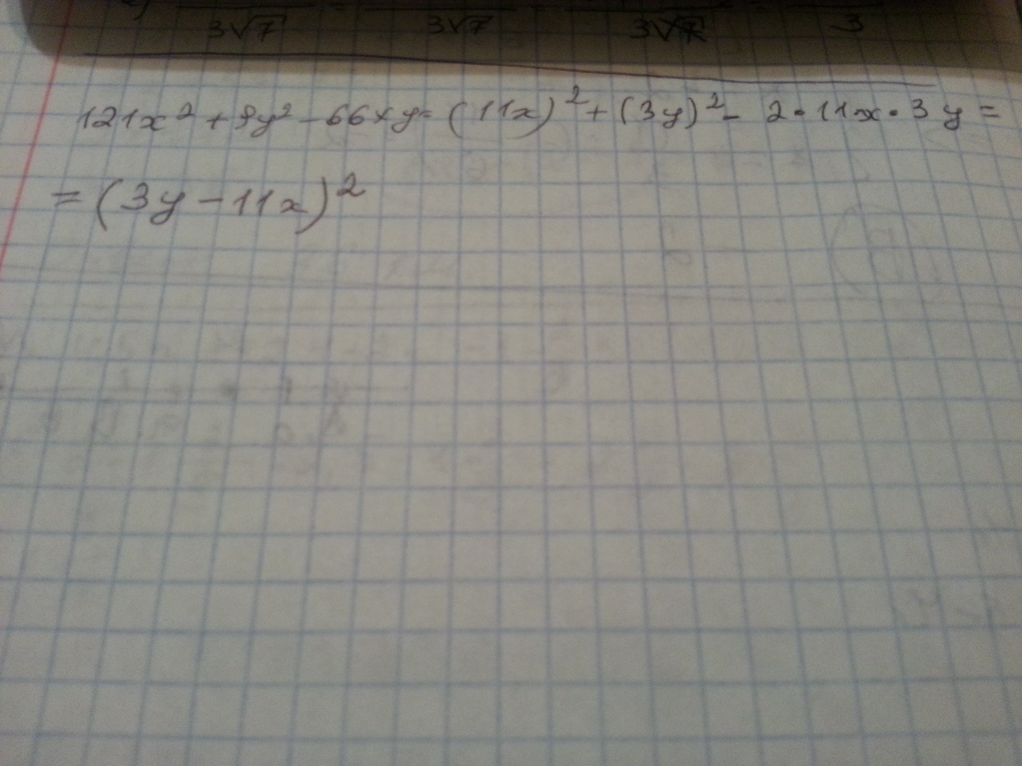
Разложите на множетели выражение 121x²+9y²-66xy

Ответы

Ответ дал: amin07am
0
Ответ ₩¥£€₩¥¥£€£¥₩¥£££¥¥
Приложения:
Ответ дал: german476
0
=121х^2-66ху+9у^2=(11х-3у)^2
Приложения:
Вас заинтересует