Ответы
Ответ дал:
0
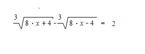
Пусть а - первый корень, b - второй.
Тогда а-b=2. По формуле куба разности (a-b)³=a³-b³-3ab(a-b) получаем
8=(8x+4)-(8x-4)-6∛(64x²-16)
64x²-16=0
x=±1/2.
Тогда а-b=2. По формуле куба разности (a-b)³=a³-b³-3ab(a-b) получаем
8=(8x+4)-(8x-4)-6∛(64x²-16)
64x²-16=0
x=±1/2.
Вас заинтересует
2 года назад
2 года назад
7 лет назад
7 лет назад
10 лет назад
10 лет назад
10 лет назад