Ответы
Ответ дал:
0
Это не уравнение, а пример.
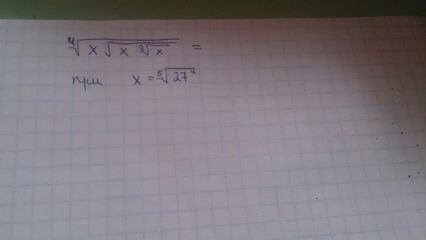
Написано
(х*(х*х^(1/3))^(1/2))^(1/4)=(x*(x^(4/3))^(1/2))^(1/4)=(x*x^(2/3))^(1/4)=
(x^5/4)^(1/4)=x^(5/16)
x=3^(12/5)
3^((12/5)*(5/16))=3^(3/4)=27^(1/4)
Ответ: корень четвертой степени из 27.
Написано
(х*(х*х^(1/3))^(1/2))^(1/4)=(x*(x^(4/3))^(1/2))^(1/4)=(x*x^(2/3))^(1/4)=
(x^5/4)^(1/4)=x^(5/16)
x=3^(12/5)
3^((12/5)*(5/16))=3^(3/4)=27^(1/4)
Ответ: корень четвертой степени из 27.
Вас заинтересует
3 года назад
3 года назад
7 лет назад
7 лет назад
10 лет назад
10 лет назад