• Предмет: Алгебра
  • Автор: Аноним
  • Вопрос задан 9 лет назад

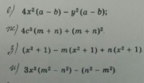
Вынести за скобки общий множитель

Приложения:

Ответы

Ответ дал: vasallik
0
e)(a -b)(4x²-y²)
ж)(m+n)(4c²+m+n)
з)(x²+1)(1-m+n)
u)(m²-n²)(3x²+1)
Вас заинтересует