• Предмет: Химия
  • Автор: ananazz28
  • Вопрос задан 9 лет назад

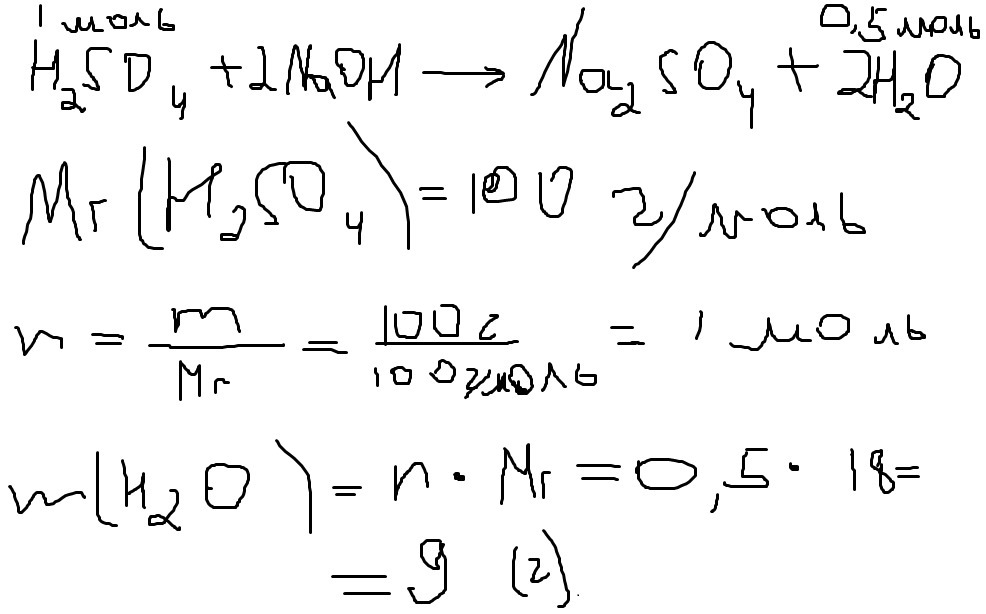
Какая масса воды образуется при взаимодействии 100 г h2so4 со щелочью NaOh

Ответы

Ответ дал: Nomer09
0
............................................................                                                            

Приложения:
Вас заинтересует