• Предмет: Математика
  • Автор: mia171
  • Вопрос задан 9 лет назад

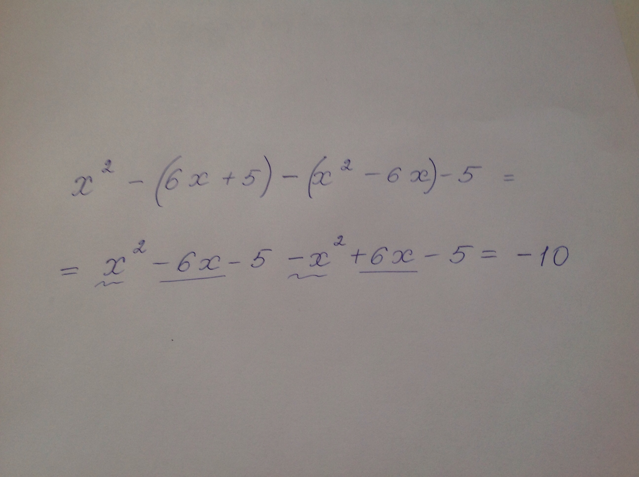
Расставьте скобки так, чтобы равенство стало тождеством

Приложения:

Ответы

Ответ дал: ВладимирБ
0
Решение смотри в приложении
Приложения:
Вас заинтересует