• Предмет: Алгебра
  • Автор: buzaeva2013
  • Вопрос задан 9 лет назад

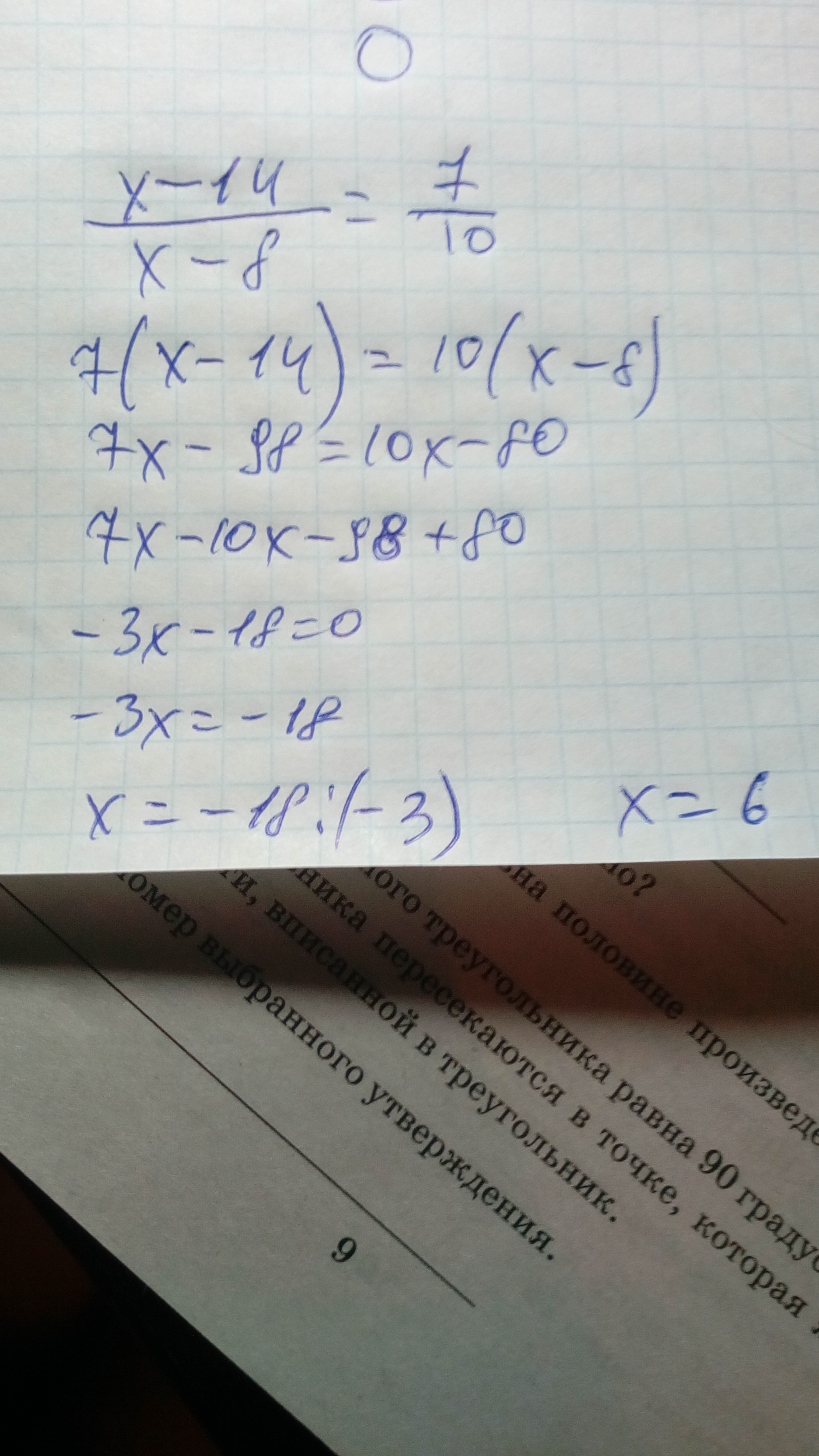
решить уравнение х-14/х-8=7/10

Ответы

Ответ дал: mrvladko1406
0
7(x-8)=10(x-14)
7x-56=10x-140
7x-10x=56-140
-3x=-84
x=28
Ответ дал: okuneva1216
0
Крест на крест обычное уравнение
Приложения:
Вас заинтересует