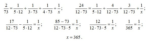
В папирусе Ринда (Древний Египет) среди прочих сведений содержатся разложения дробей в сумме дробей с числителем 1,например,2/73=1/60+1/219+1/292+1/х.Один из знаменателей здесь заменён буквой х. Найдите этот знаменатель.
Ответы
Ответ дал:
0
Решение в приложении.
Приложения:

Вас заинтересует
2 года назад
2 года назад
7 лет назад
9 лет назад
9 лет назад
10 лет назад