Ответы
Ответ дал:
0
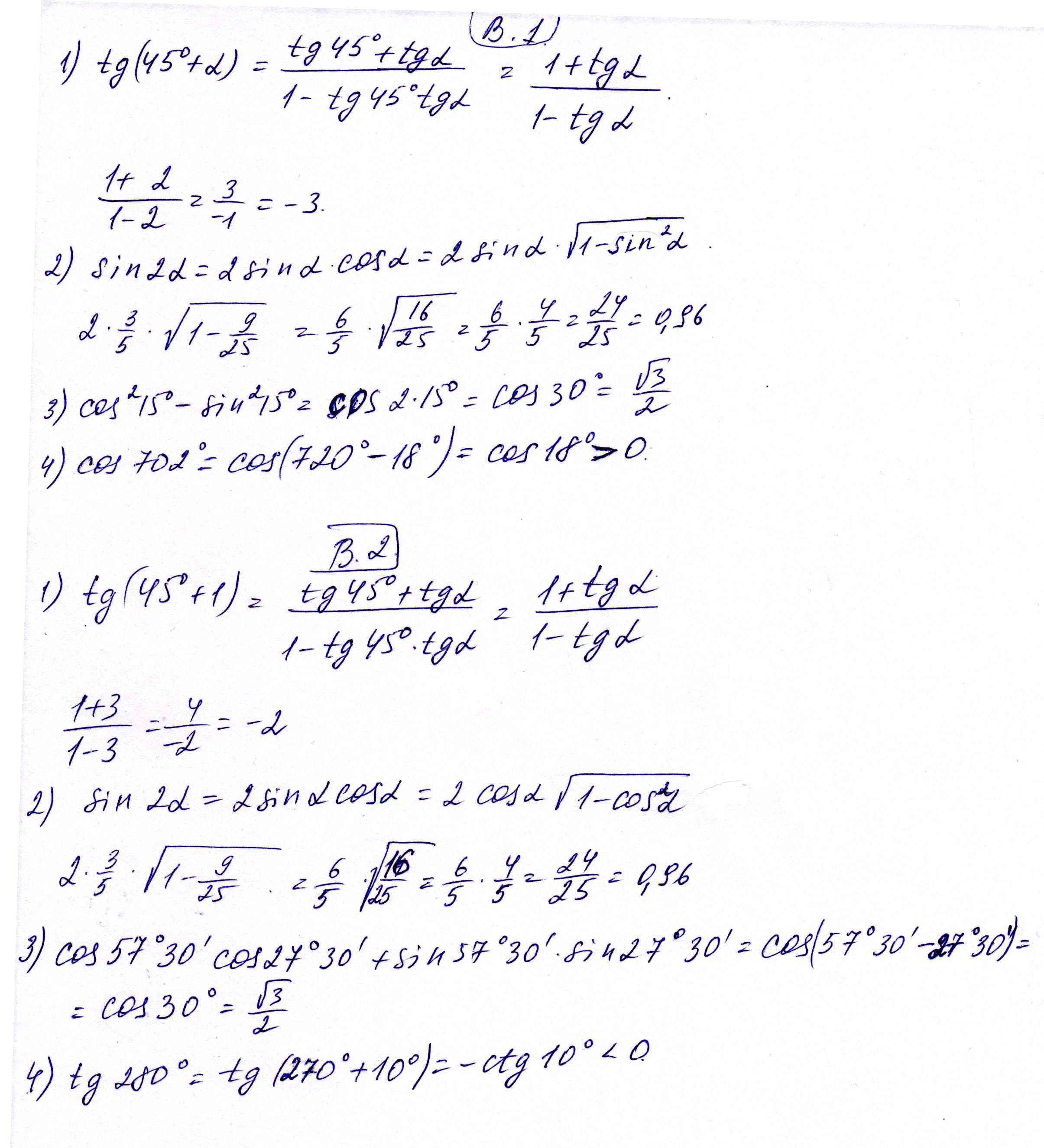
Вариант какой не понятно. На картинке оба варианта
Приложения:

Ответ дал:
0
Спасибо большое :D
Вас заинтересует
2 года назад
2 года назад
7 лет назад
9 лет назад
10 лет назад