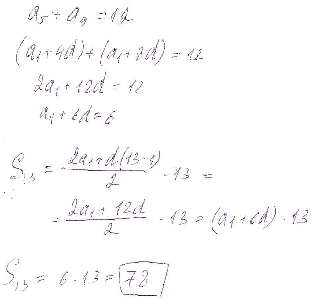
Сумма пятого и девятого членов арифметической прогрессии равна 12. Найдите сумму тринадцати первых членов этой прогрессии.
Ответы
Ответ дал:
0
надеюсь будет понятно......
Приложения:

Вас заинтересует
2 года назад
8 лет назад
8 лет назад
10 лет назад
10 лет назад
10 лет назад