• Предмет: Математика
  • Автор: Luisemr
  • Вопрос задан 9 лет назад

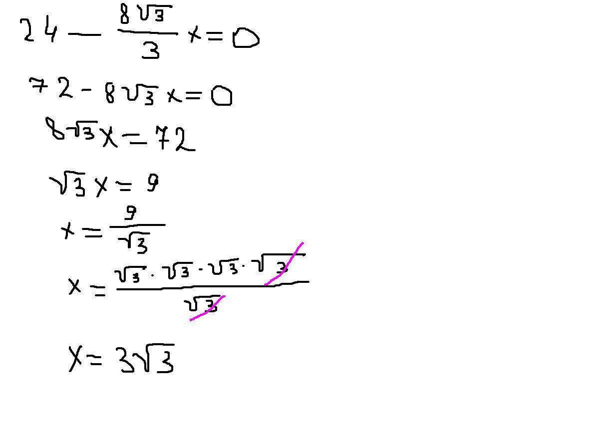
Ответ должен получиться 3 корня из 3. Покажите решение,у меня никак не выходит

Приложения:

Ответы

Ответ дал: Darya1805
0
.........................................
Приложения:
Ответ дал: AlinkaMalinkaKalinka
0
-8корней3/3 х=-24
3*8корней3/3 х=24
8корней3 х=24
24/8 корней3=3корней 3
Приложения:
Вас заинтересует