• Предмет: Алгебра
  • Автор: зуе
  • Вопрос задан 9 лет назад

Очень срочно, прошу помогите!
( x+2) sqrt{ frac{2}{ x^{2} +4 x+4} } ,
где х больше 2

Ответы

Ответ дал: miron2077
0
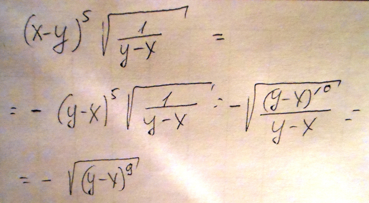
решение в приложении
Приложения:
Ответ дал: зуе
0
пожалуйста, помогите!!!
внесите множитель под знак корня
( x-y)5 sqrt{ frac{1}{y-x} }
Ответ дал: зуе
0
(x-y) в пятой степени у множить корень из: 1/y-x
Ответ дал: miron2077
0
обнови страницу
Ответ дал: зуе
0
Спасибо тебе большое!!! Век тебе буду благодарна!
Ответ дал: miron2077
0
Ну, век - это очень много! Пожалуйста
Вас заинтересует