Ответы
Ответ дал:
0
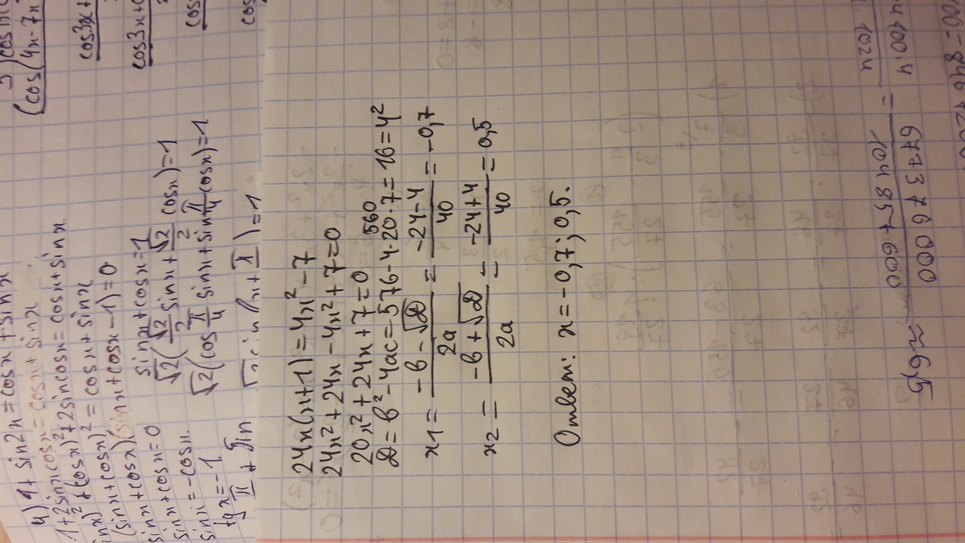
24х( Х + 1 ) = 4х^2 - 7
24х^2 + 24х - 4х^2 + 7 = 0
20х^2 + 24х + 7 = 0
D = 576 - 560 = 16 = 4^2
X1 = ( - 24 + 4 ) : 40 = - 0,5
X2 = ( - 24 - 4 ) : 40 = - 28/40 = - 0,7
24х^2 + 24х - 4х^2 + 7 = 0
20х^2 + 24х + 7 = 0
D = 576 - 560 = 16 = 4^2
X1 = ( - 24 + 4 ) : 40 = - 0,5
X2 = ( - 24 - 4 ) : 40 = - 28/40 = - 0,7
Ответ дал:
0
.....................
Приложения:

Вас заинтересует
2 года назад
2 года назад
7 лет назад
7 лет назад
9 лет назад
9 лет назад
10 лет назад