• Предмет: Алгебра
  • Автор: ьэжзррлдддбавв
  • Вопрос задан 9 лет назад

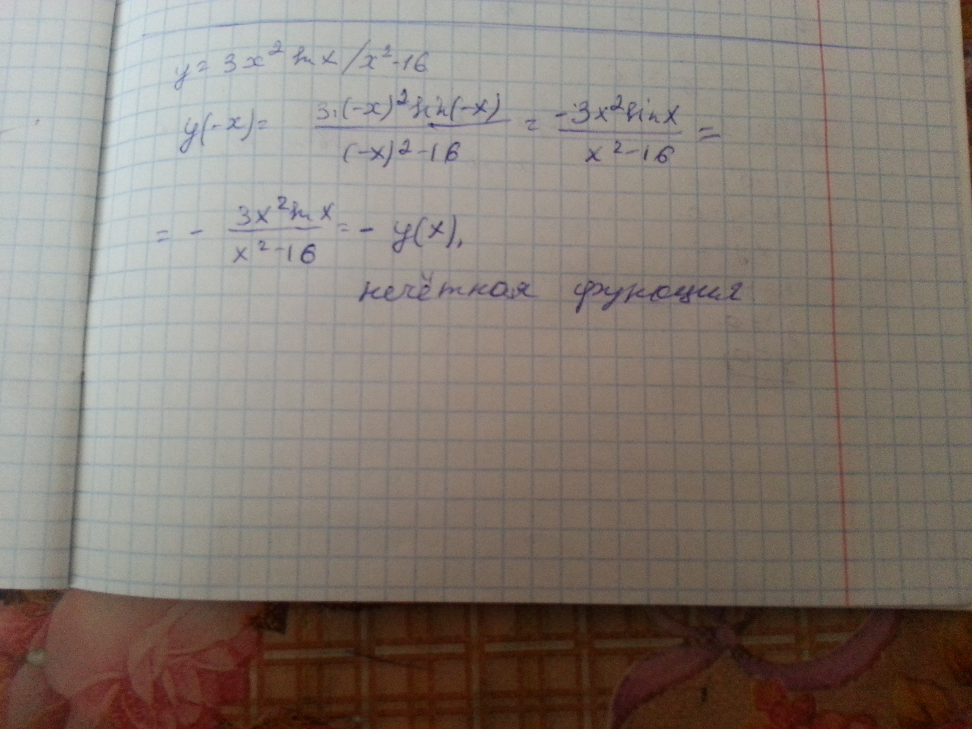
докожите что функция y=3x^2×sinx/x^2-16 является нечетной

Ответы

Ответ дал: amin07am
0
Ответ ответ ответ ответ ответ
Приложения:
Вас заинтересует