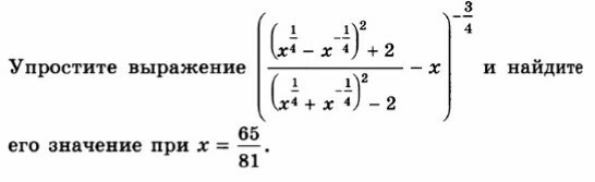
Ответы
Ответ дал:
0
.................................
Приложения:

Ответ дал:
0
спасибо огромнейшее!
Ответ дал:
0
незачто)
Вас заинтересует
2 года назад
7 лет назад
10 лет назад
10 лет назад