Ответы
Ответ дал:
0
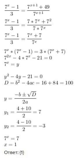
у = -3 - не удовлетворяет одз.
Ответ: {1}
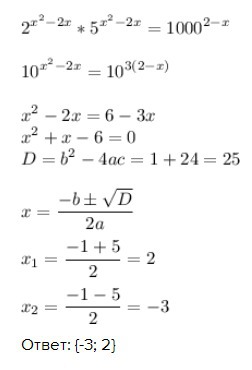
Ответ: {-3; 2}
Приложения:


Вас заинтересует
2 года назад
7 лет назад
9 лет назад
10 лет назад