• Предмет: Математика
  • Автор: mikhail227
  • Вопрос задан 9 лет назад

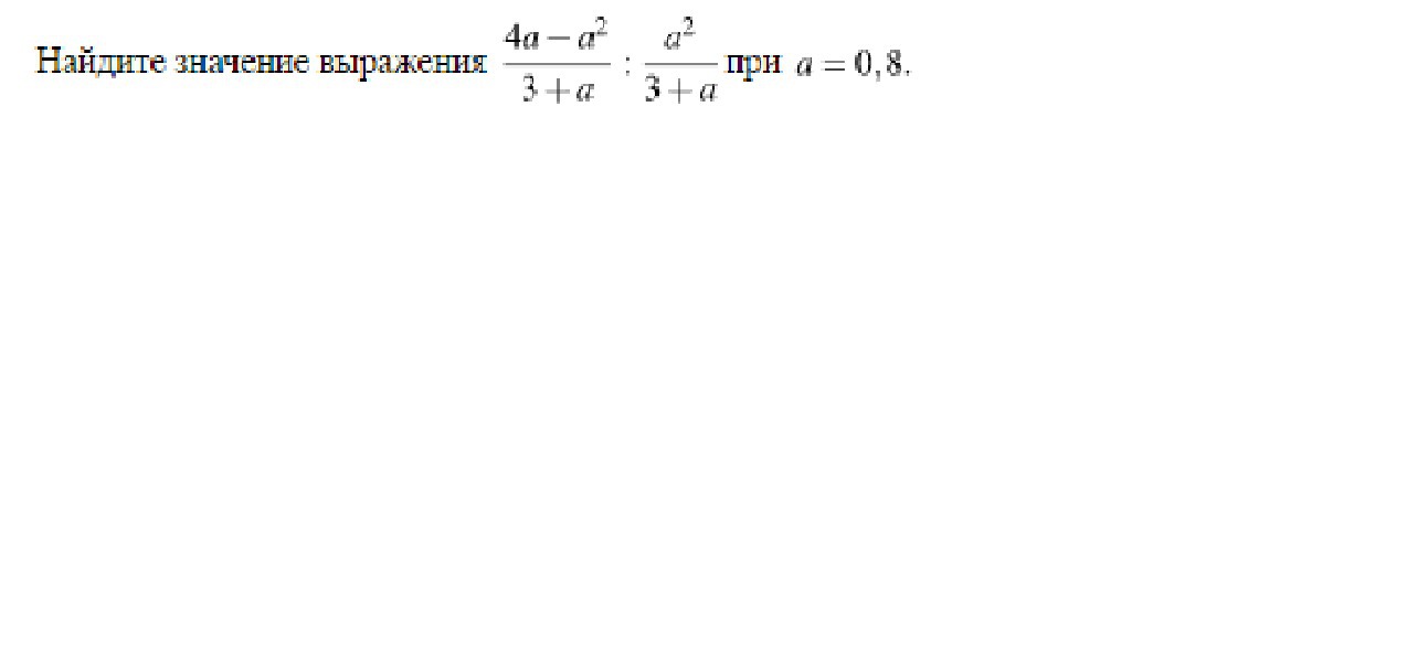
Помогите нужен только ответ!!!!!!!

Приложения:

Ответы

Ответ дал: Олеся9006
0
решение на фото внизу
Приложения:
Вас заинтересует