• Предмет: Алгебра
  • Автор: NikkLoiiD
  • Вопрос задан 11 лет назад

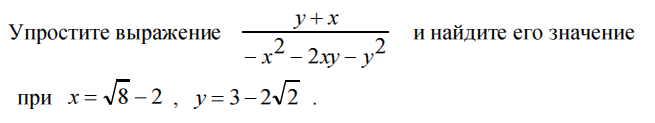
Помогие упростить вырашение? 
Смотрите вложении.
 

Приложения:

Ответы

Ответ дал: русская25
0

Решение "ужасного" примера смотри во вложении :D

удачи)

Приложения:
Вас заинтересует