• Предмет: Алгебра
  • Автор: ulyamodina
  • Вопрос задан 9 лет назад

ДАЮ 80 БАЛЛОВ!!!!
Решите систему двух уравнений с двумя переменными
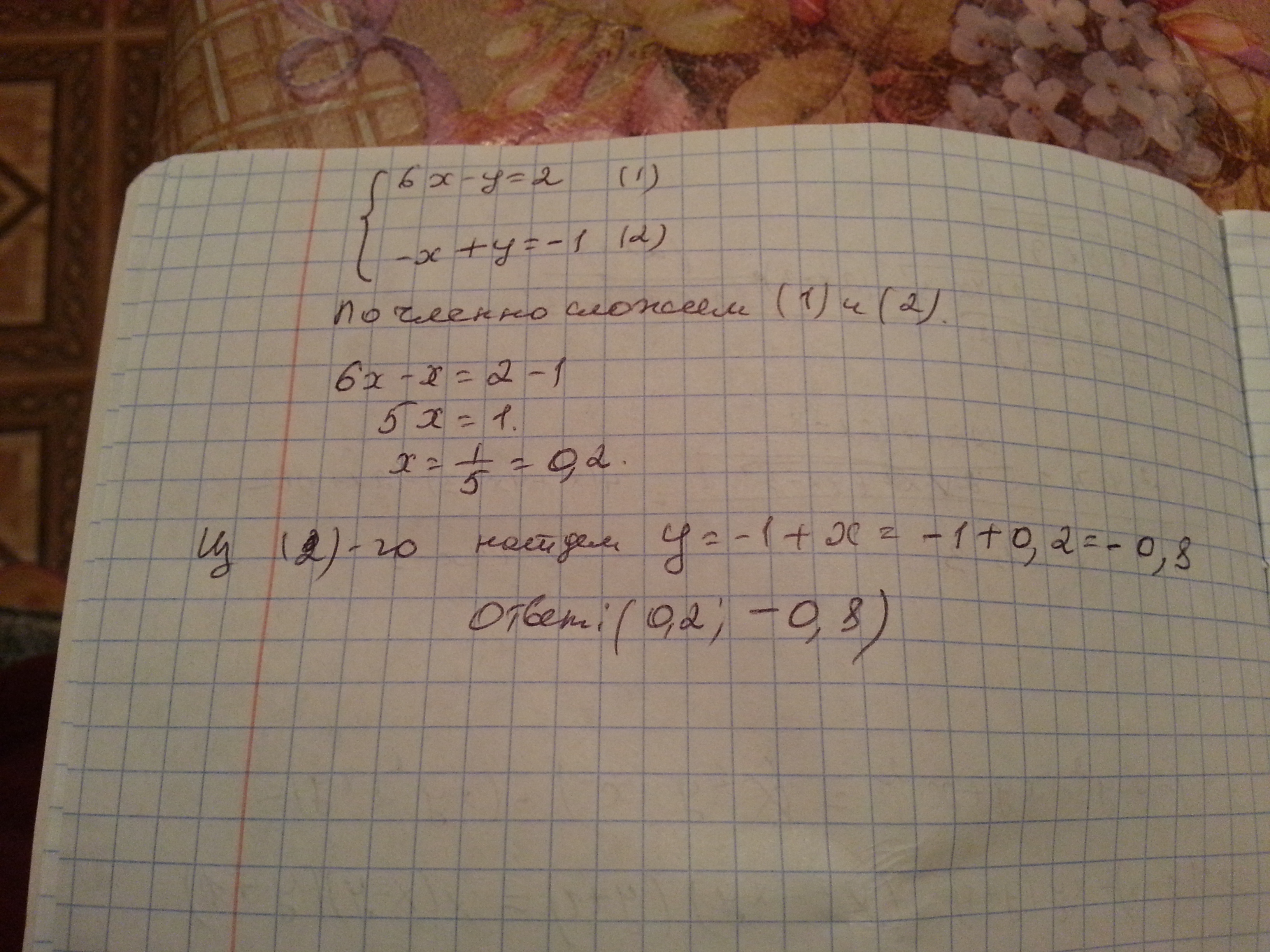
{6х-у=2
{-х+у=-1

Ответы

Ответ дал: amin07am
0
Ответ ответ ответ ответ ответ
Приложения:
Ответ дал: 100275
0
{6х-у=2
{-х+у=-1
6x-x=2-1
5x=1
x=1/5=0.2
y=x-1
y=0.2-1=-0.8
Приложения:
Вас заинтересует