• Предмет: Алгебра
  • Автор: КРМУ
  • Вопрос задан 9 лет назад

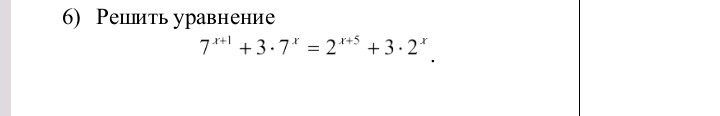
Помогите пожалуйста. Срочно нужно. У нас завтра контрольная. (( Решите уравнение

Приложения:

Ответы

Ответ дал: OlgaOrlova99
0
Всё решение смотрите на фото
Приложения:
Вас заинтересует