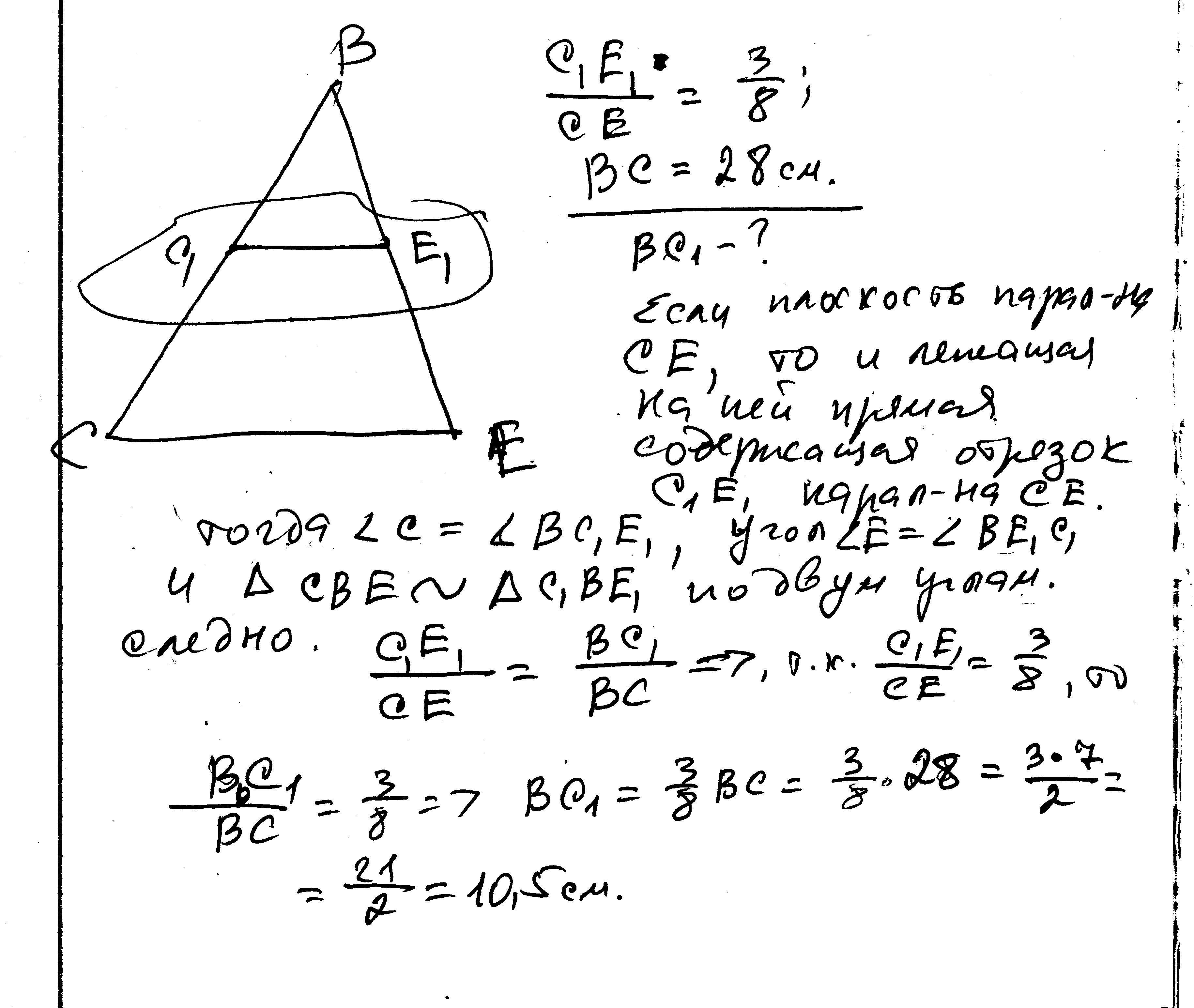
Дан треугольник BCE. Плоскость, параллельна CE, пересекает сторону BE в точке E1, а сторону BC в точке C1. C1E1:CE=3:8, BC=28cm. Найти B1C1.
Рисунок есть. Помогите решить! Срочно! Заранее спасибо!
Приложения:
Ответы
Ответ дал:
0
решение в скане......................
Приложения:
Вас заинтересует
2 года назад
2 года назад
7 лет назад
7 лет назад
10 лет назад
10 лет назад
10 лет назад