• Предмет: Математика
  • Автор: elizaveta103
  • Вопрос задан 9 лет назад

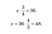
найдите число, 3/4 которого равны 36

Ответы

Ответ дал: pmath
0
См. прилагаемый файл
Приложения:
Вас заинтересует