• Предмет: Математика
  • Автор: olieghivanov2
  • Вопрос задан 9 лет назад

Помогите пожайлуста.Чем быстрее тем лучше

Приложения:

Ответы

Ответ дал: BEHDEP
0
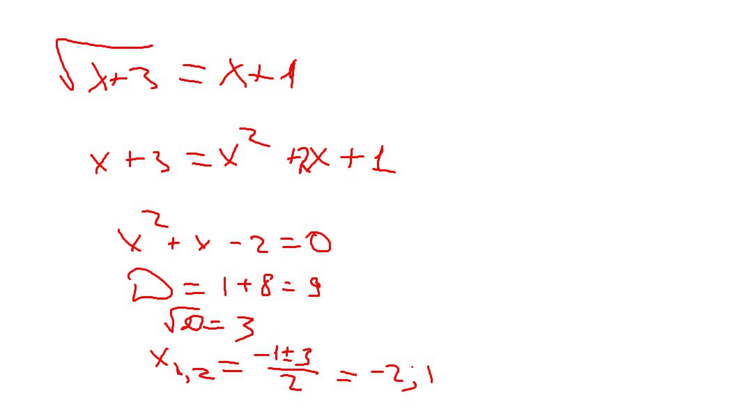
Решение прилагаю ниже.

Приложения:
Вас заинтересует