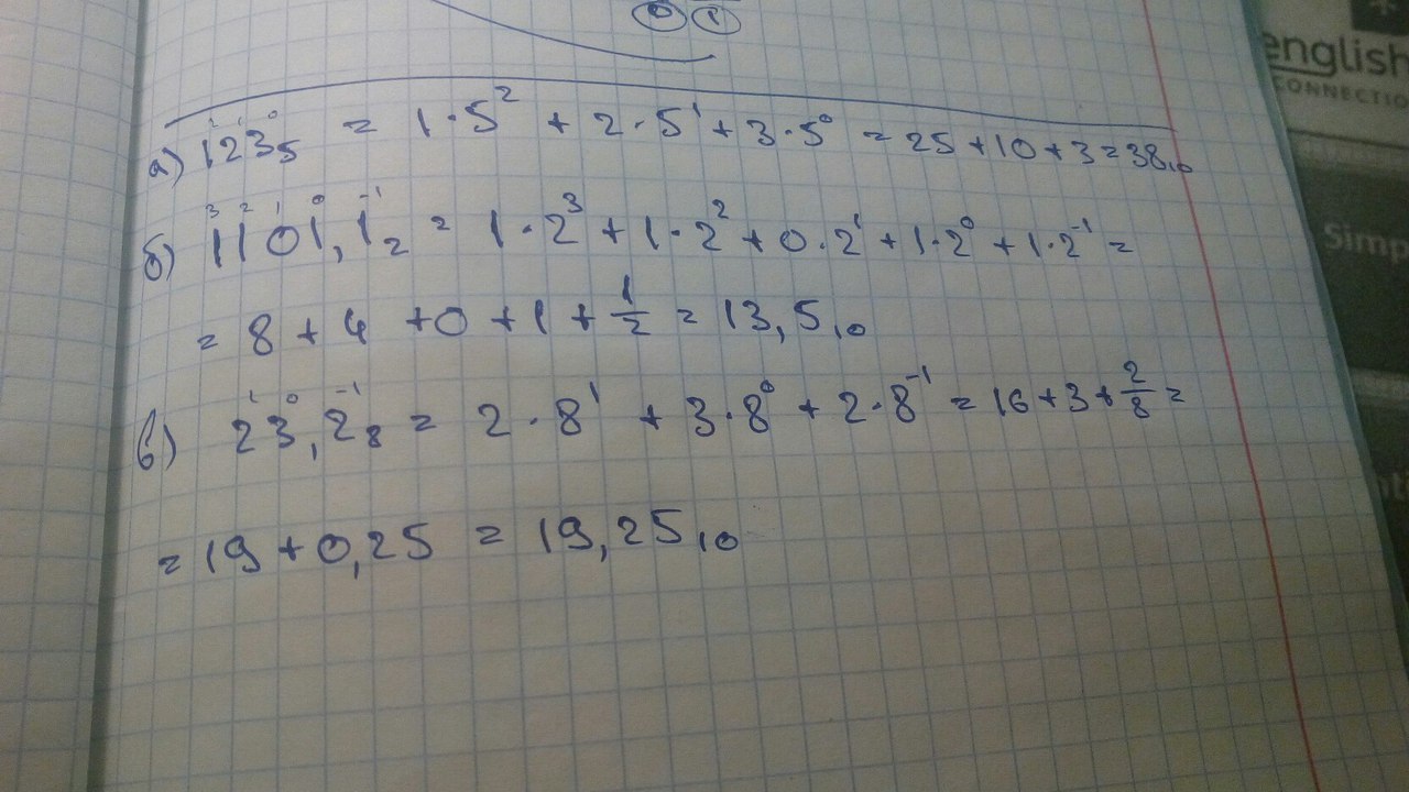
Выполнить указанные переводы чисел из одной системы в другую:
а) 123(5)=Х(10)
б) 1101,1(2)=Х(10)
в) 23,2(8)=Х(10)
Будьте добры дать полноцный ответ. Заранее спасибо.
Ответы
Ответ дал:
0
Надеюсь, что все понятно будет
Приложения:
Вас заинтересует
2 года назад
2 года назад
7 лет назад
10 лет назад
10 лет назад
10 лет назад