Ответы
Ответ дал:
0
1
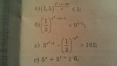
(x²+x-20)/x≤0
x²+x-20=0
x1+x2=-1 U x1*x2=-20⇒x1=-5 U x2=4
x=0
_ + _ +
---------------[-5]-------------(0)----------------[4]----------------------
x∈(-∞;-5] U (0;4]
2
x²-4x-1<2-2x
x²-2x-3<0
x1+x2=2 U x1*x2=-3⇒x1=-1 U x2=3
x∈(-1;3)
3
3*3^x²-3^x²>162
2*3^x²>162
3^x²>81
x²>4
x²-4>0
(x-2)(x+2)>0
x=2 x=-2
x∈(-∞;-2) U (2;∞)
4
5^x+5/5^x-6>0
(5^2x-6*5^x+5)/5^x>0
5^x>0 при любом х⇒(5^2x-6*5^x+5)>0
5:^x=a
a²-6a+5>0
a1+a2=6 U a1*a2=5⇒a1=1 U a2=5
a<1⇒5^x<1⇒x<0 U a>5⇒x>1
x∈(-∞;0) U (1;∞)
(x²+x-20)/x≤0
x²+x-20=0
x1+x2=-1 U x1*x2=-20⇒x1=-5 U x2=4
x=0
_ + _ +
---------------[-5]-------------(0)----------------[4]----------------------
x∈(-∞;-5] U (0;4]
2
x²-4x-1<2-2x
x²-2x-3<0
x1+x2=2 U x1*x2=-3⇒x1=-1 U x2=3
x∈(-1;3)
3
3*3^x²-3^x²>162
2*3^x²>162
3^x²>81
x²>4
x²-4>0
(x-2)(x+2)>0
x=2 x=-2
x∈(-∞;-2) U (2;∞)
4
5^x+5/5^x-6>0
(5^2x-6*5^x+5)/5^x>0
5^x>0 при любом х⇒(5^2x-6*5^x+5)>0
5:^x=a
a²-6a+5>0
a1+a2=6 U a1*a2=5⇒a1=1 U a2=5
a<1⇒5^x<1⇒x<0 U a>5⇒x>1
x∈(-∞;0) U (1;∞)
Ответ дал:
0
На последнам нет ли ошибка?>=там
Ответ дал:
0
Больше равно 6.
Ответ дал:
0
Или мои глаза обманывает?)
Ответ дал:
0
верно, ошибочка
Ответ дал:
0
Ответ ответ ответ ответ ответ
Приложения:
Вас заинтересует
2 года назад
2 года назад
7 лет назад
7 лет назад
10 лет назад
10 лет назад
10 лет назад