• Предмет: Математика
  • Автор: MrHerobrine
  • Вопрос задан 9 лет назад

Пожалуйста, помогите решить 28-ое. Заранее спасибо.

Приложения:

Ответы

Ответ дал: potapov19461
0
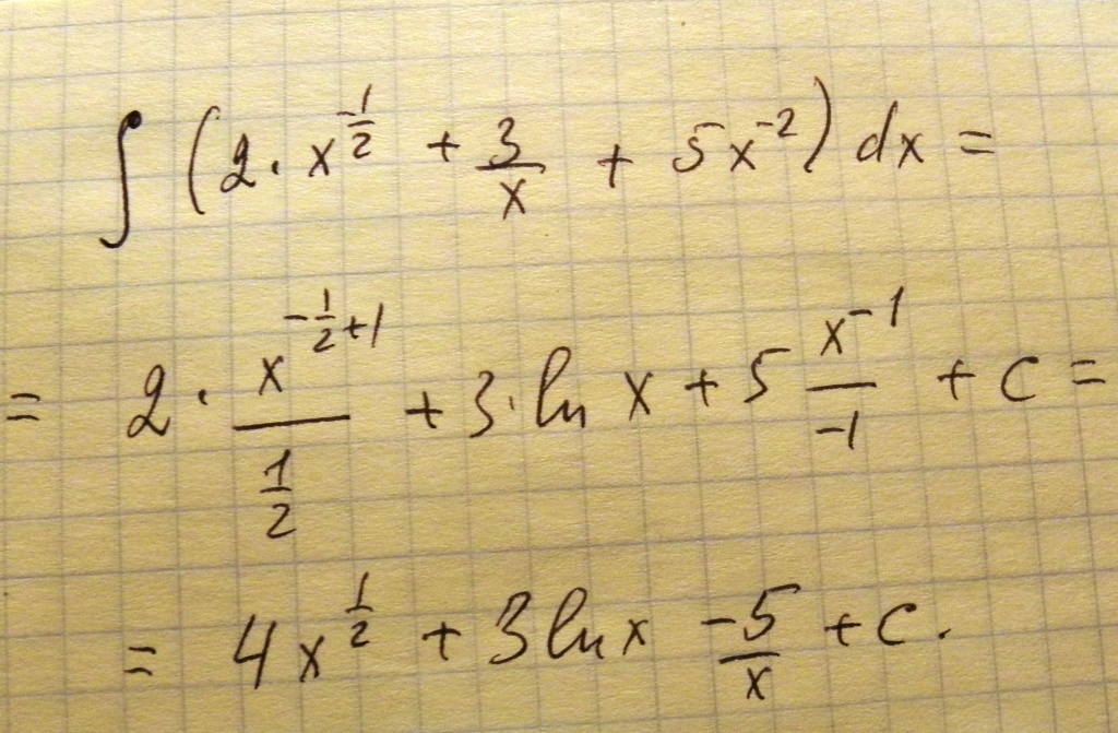
Преобразуй функцию в сумму
Приложения:
Вас заинтересует