• Предмет: Алгебра
  • Автор: romikkursk46
  • Вопрос задан 9 лет назад

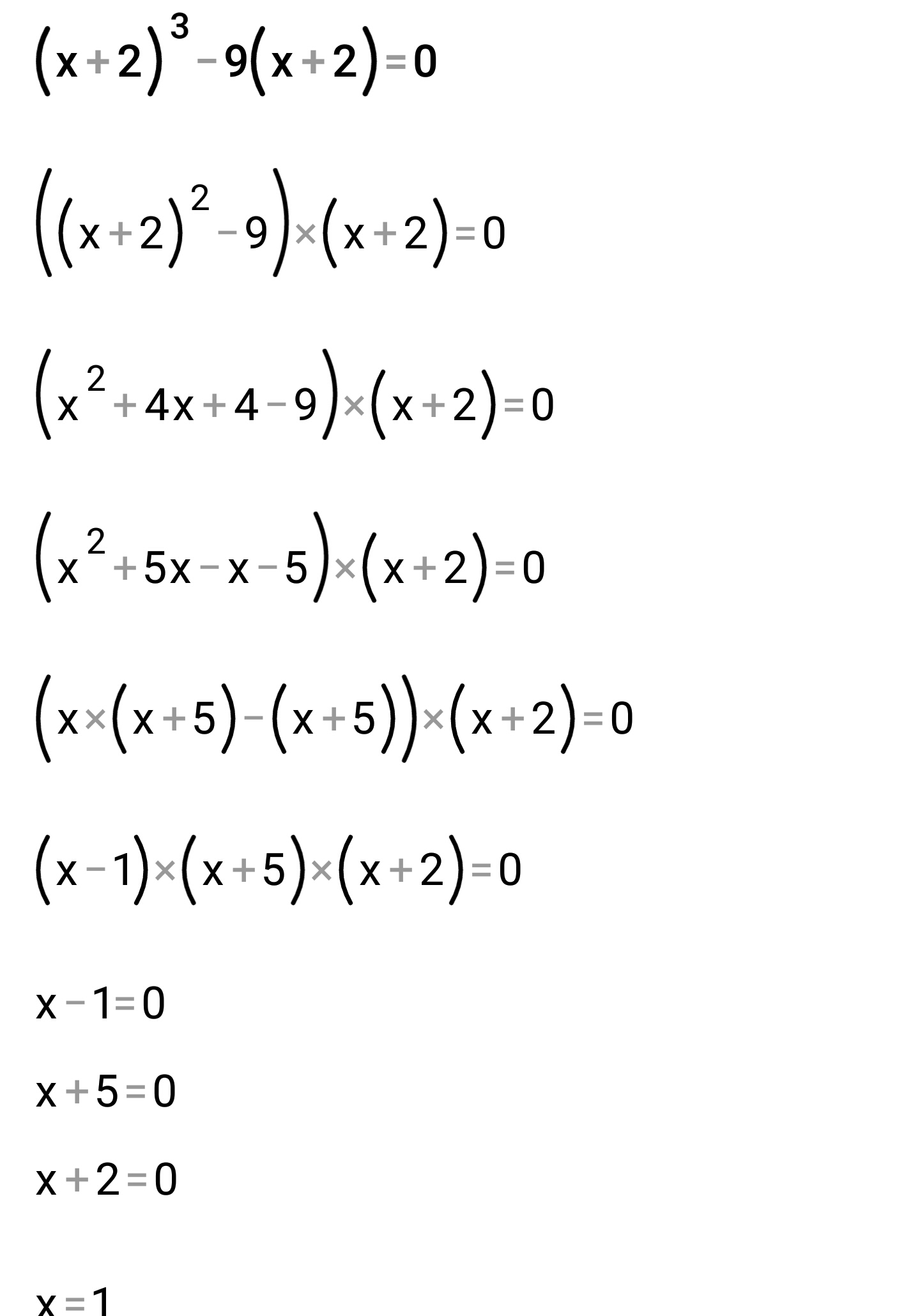
Решите уравнение (х+2)^3-9(х+2)=0

Ответы

Ответ дал: Sветлаnа
0
Ответ: 1,-5,-2... решение в файле
Приложения:
Вас заинтересует