• Предмет: Математика
  • Автор: Lesenok98
  • Вопрос задан 9 лет назад

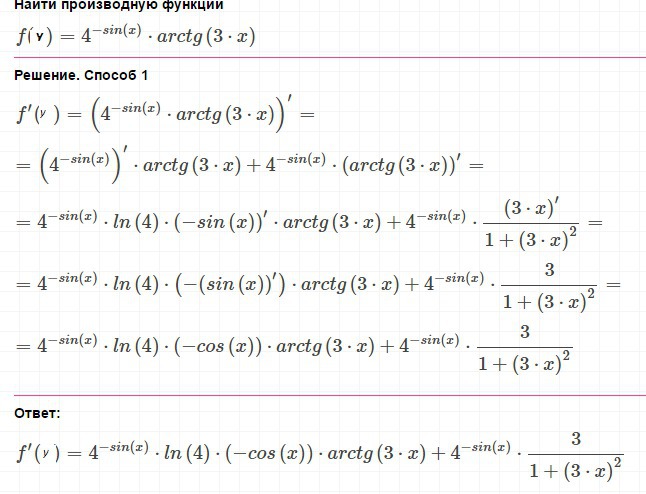
найдите пожалуйста производую y=4^(-sinx) * arctg 3x

Ответы

Ответ дал: sirvilly
0
тут посмотри,может будет верн
Приложения:
Вас заинтересует