помогите пожалуйста решить.
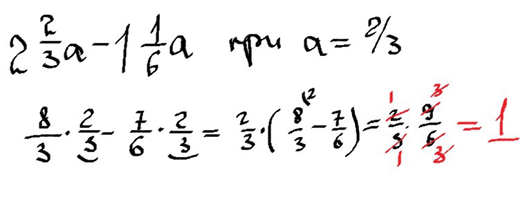
Упростите выражение и найдите его значение при а = 2/3 :
2целые 2/3a-1целая1/6a
Ответы
Ответ дал:
0
вложение смотри ниже ответ
Приложения:

Ответ дал:
0
Спасибо
Вас заинтересует
2 года назад
2 года назад
7 лет назад
7 лет назад
9 лет назад
9 лет назад