• Предмет: Математика
  • Автор: Аноним
  • Вопрос задан 9 лет назад

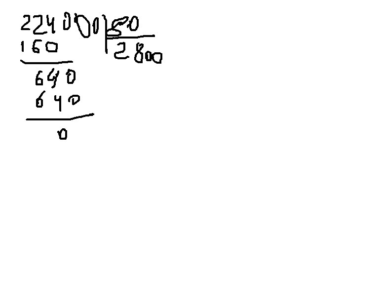
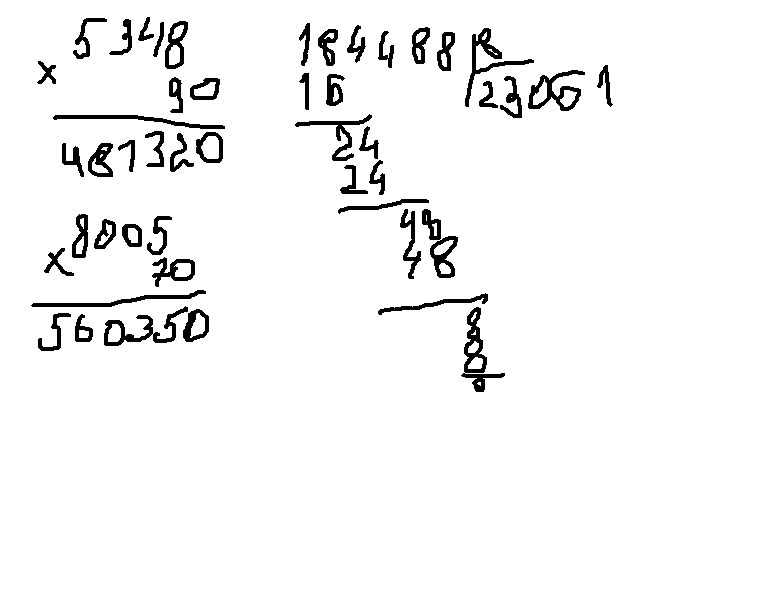
помогите решить примеры. В столбик 1 пример 5348 умножить на 90 2 пример 184 488 разделить на 8 3 пример 8005 умножить на 70 4 пример 25990 умножить на 4 5 пример 532500 разделить на 6 6 пример 224000 разделить на 80

Ответы

Ответ дал: seryogane2016
0
5348*90=481320 2)1844888=23061 3) 8005*70=560350 4)25990*4=103960 5)5325006=88750 6)22400080=2800

Ответ дал: ann135723
0
))))))))))))))))))))))))))))))))))))))
Приложения:
Вас заинтересует