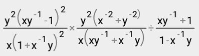
Дам 99 БАЛЛОВ!!!!!!!!!!!!!!!!!!!!!!!!!!!!!!!!!!!!!!!!!!!!!!!!!!!!!!!!!!!!!!!!!!!!! ПОМОГИТЕ ОЧЕНЬ СРОЧНО НУЖНО! ЕСЛИ ПОМОЖЕТЕ БУДУ ОЧЕНЬ ОЧЕНЬ БЛАГОДАРЕН!
Приложения:

Ответы
Ответ дал:
0
Ответ ответ ответ ответ ответ ответ
Приложения:


Вас заинтересует
2 года назад
7 лет назад
9 лет назад
9 лет назад
10 лет назад
10 лет назад