Ответы
                                            Ответ дал: 
                                                                                    
                                        
                                            
                                                
                                                
                                                
                                                    0
                                                
                                            
                                        
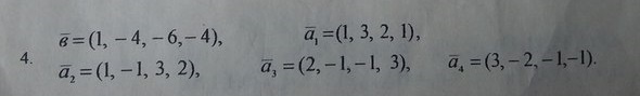
                                    Определитель этой матрицы равен -153, т.е. не нуль. Следовательно, строки линейно независимы.
Вас заинтересует
                
                        2 года назад
                    
                
                        7 лет назад
                    
                
                        9 лет назад
                    
                
                        9 лет назад
                    
                
                        10 лет назад
                    
                
                        10 лет назад
                    
                 
                            