Решите пожалуйста. И подробнее. В 3 задании найти sin2 альфа, сos2 альфа и tg2 альфа.
Приложения:

Ответы
Ответ дал:
0
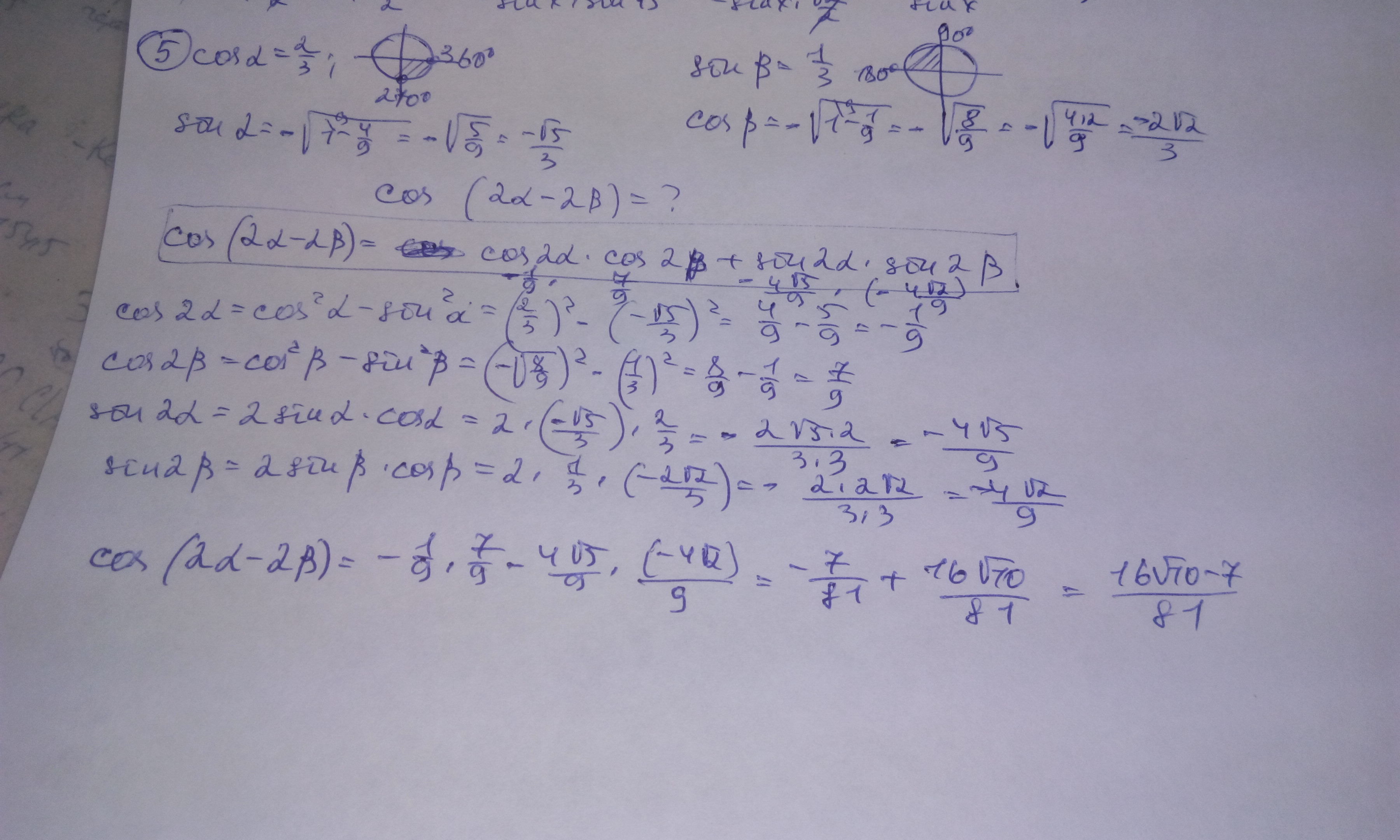
Всё подробно написала в решении.
Приложения:


Ответ дал:
0
а в 3 задании нужно найти sin2 альфа, cos2альфа и tg2альфа. А у тебя просто sin, tg и ctg
Вас заинтересует
2 года назад
2 года назад
7 лет назад
9 лет назад
10 лет назад