Ответы
Ответ дал:
0
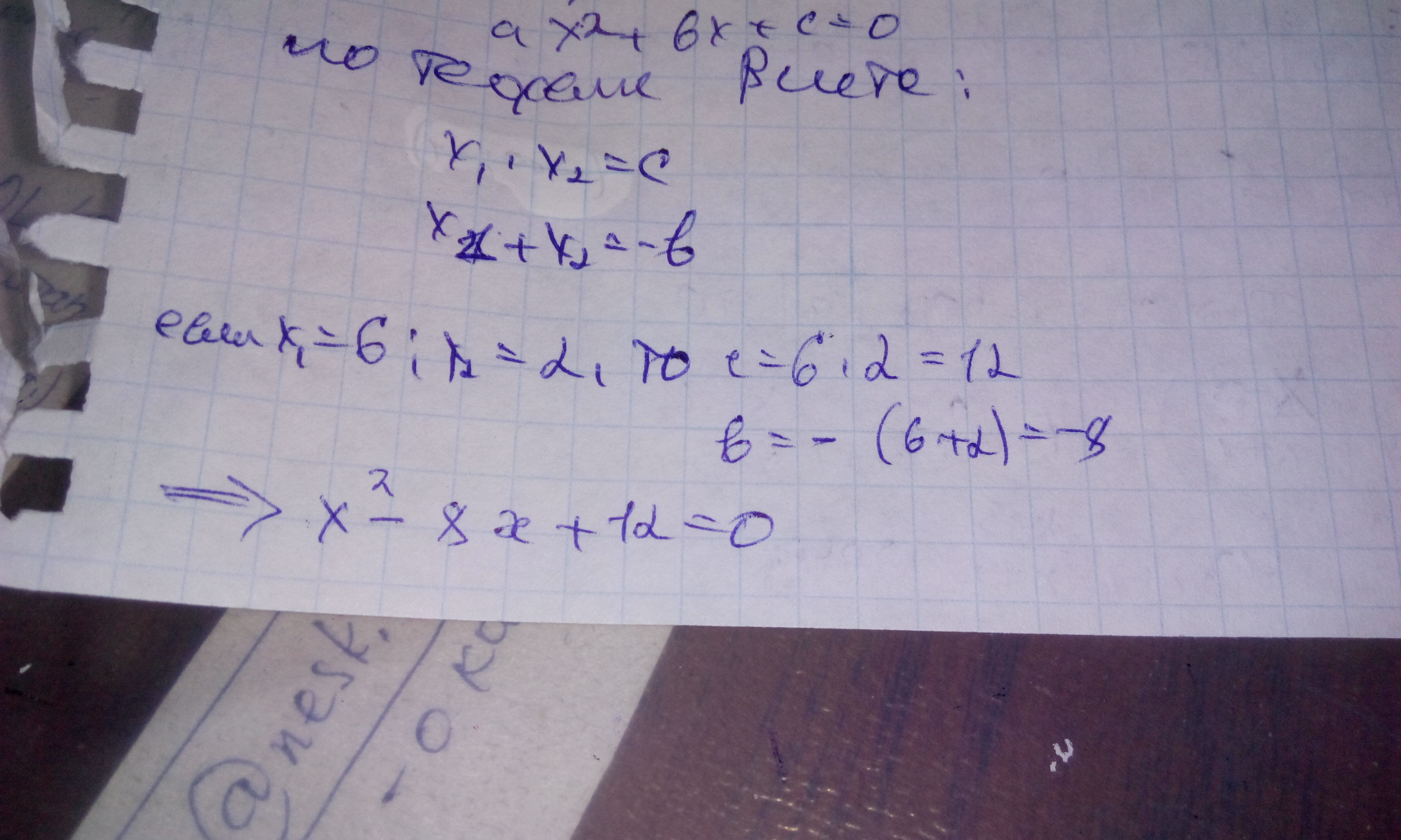
Решаем по теореме Виета.
Приложения:

Ответ дал:
0
х²=√6 х²=√2
х²-√6=0 х²-√2=0
х1=√6 х1=√2
х2=-√6 х2=-√2
х²-√6=0 х²-√2=0
х1=√6 х1=√2
х2=-√6 х2=-√2
Приложения:

Вас заинтересует
2 года назад
2 года назад
7 лет назад
9 лет назад
9 лет назад
10 лет назад
10 лет назад