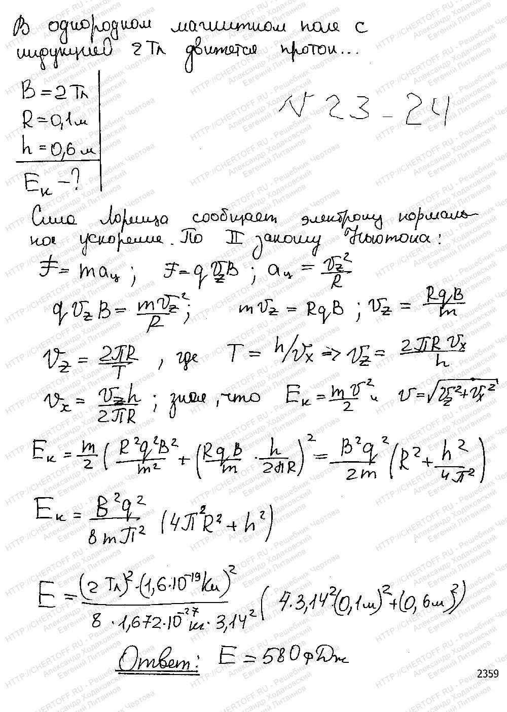
В однородном магнитном поле с индукцией В=2 Тл движется протон. Траектория его движения представляет собой винтовую линию с радиусом R =10 см . Определить кинетическую энергию протона.
Ответы
Ответ дал:
0
Запишем 2 закон Ньютона (у протона ускорение центростремительное)

Ответ дал:
0
Просто нашла в интернете, не знаю это надо или не это
Приложения:
Вас заинтересует
3 года назад
3 года назад
7 лет назад
10 лет назад
10 лет назад
10 лет назад