Ответы
Ответ дал:
0
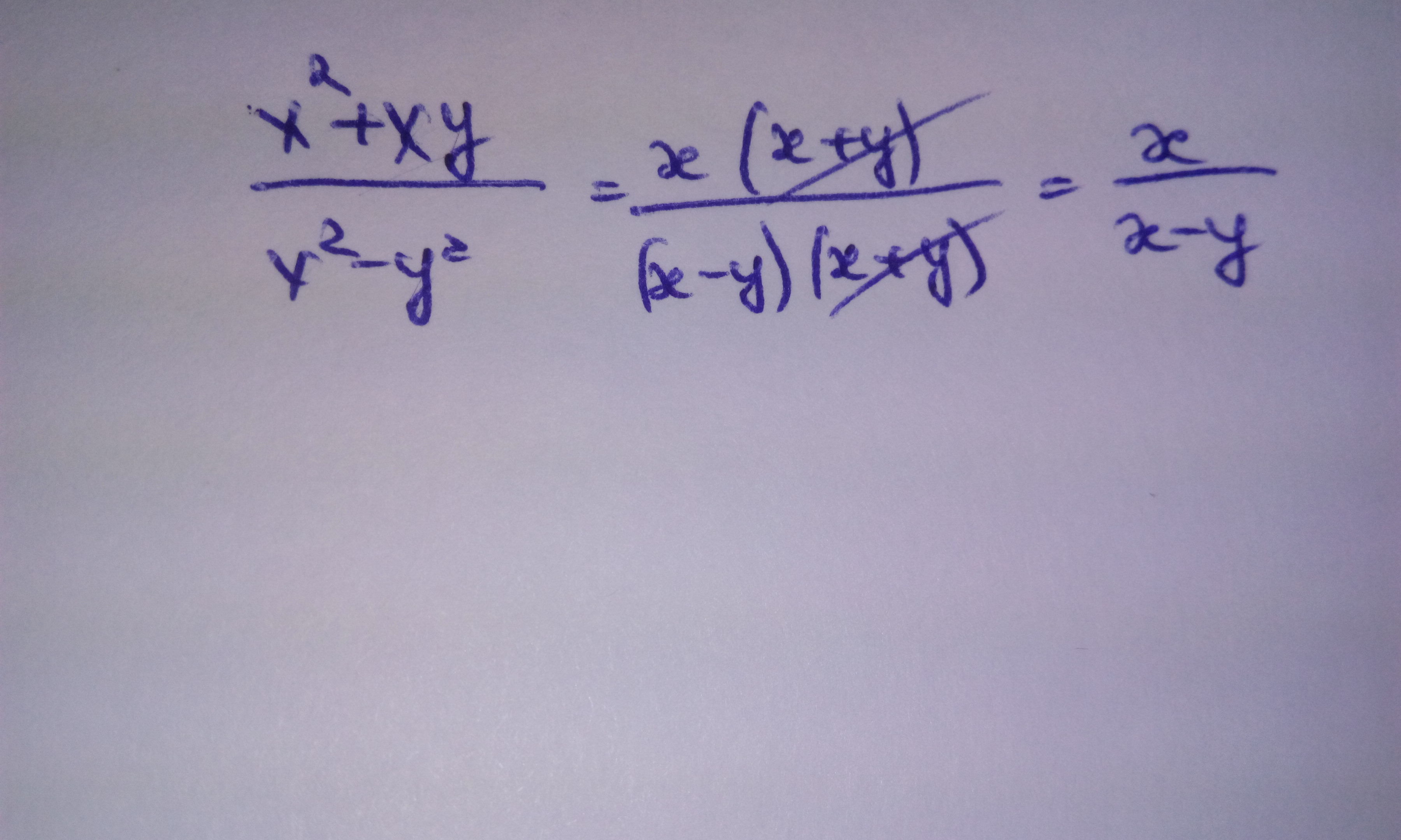
Раскладываем на множители, а потом сокращаем дробь.
Приложения:

Ответ дал:
0
Приложения:

Вас заинтересует
2 года назад
2 года назад
7 лет назад
7 лет назад
9 лет назад