• Предмет: Математика
  • Автор: pineapple000
  • Вопрос задан 9 лет назад

срочно надо, помогите пожалуйста

Приложения:

Ответы

Ответ дал: Trover
0
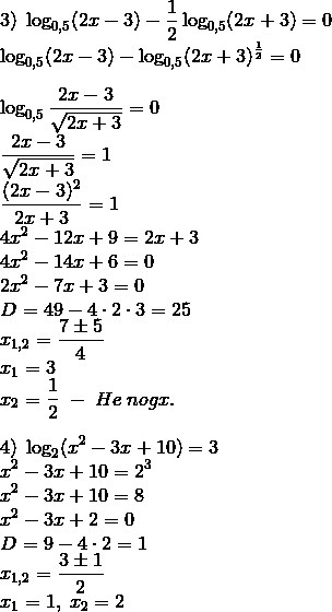
Решение в приложенных файлах.
Приложения:
Вас заинтересует