Ответы
Ответ дал:
0
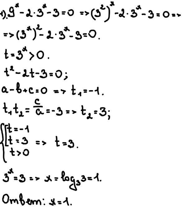
1). Ответ: x=1.
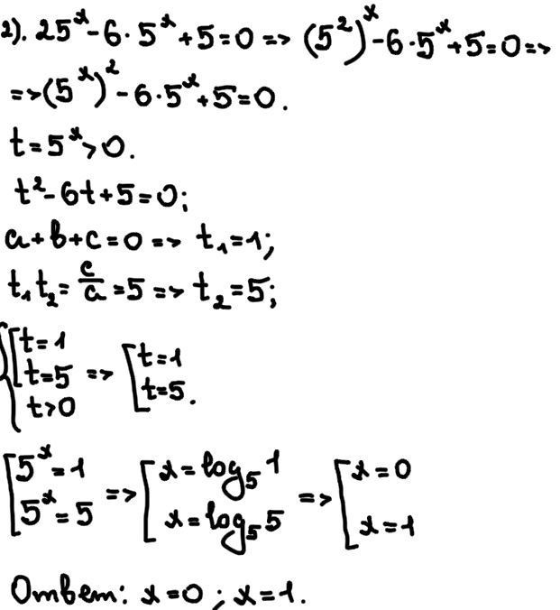
2). Ответ: x=0; x=1.
(Решения на рисунках).
2). Ответ: x=0; x=1.
(Решения на рисунках).
Приложения:


Ответ дал:
0
все не правильные !
Ответ дал:
0
эм... решение может быть и да, но ответ правильный. можно проверить подстановкой ну или же вбить эти уравнения на каком-нибудь сайте, который решает уравнения, и увидеть те же самые ответы...
Вас заинтересует
2 года назад
2 года назад
7 лет назад
7 лет назад
9 лет назад
10 лет назад
10 лет назад