• Предмет: Математика
  • Автор: никуся1405
  • Вопрос задан 9 лет назад

решите плиз(4) даю 5 баллов

Приложения:

Ответы

Ответ дал: Катрин7707
0
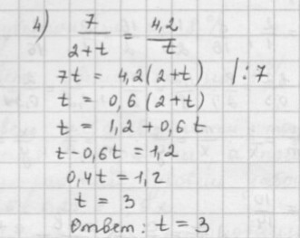
Воот) конец: t=3 Надеюсь помогла!)
Приложения:
Ответ дал: совушка64
0
заранее , пожалуйста.
Приложения:
Ответ дал: совушка64
0
ника
Ответ дал: совушка64
0
жду
Вас заинтересует